Assalamu 'alaikum Wr Wb.
Agar bersesuaian dengan tujuan Blog ini sebagai media konsultasi dan informasi, maka mulai hari ini insya Allah akan dijawab soal - soal fisika dari pengunjung. Cara mengajukan pertanyaan:
1. Memasukkan soal via gadget silaturrahim yg ada di kolom sebelah kanan (masukkan nama dgn jelas dan sekolah)
2. Memasukkan soal via komentar dari salah satu soal yang sudah diposkan.
3. Berikan keterangan soal itu apakah soal SMP atau SMA, karena meski topiknya sama ada perbedaan simbol istilah atau pendekatan antara soal - soal SMP dan SMA...
Berikut ini pertanyaan dari Meirisa Marta Saisu dari SMA 103 Jakarta yang terkirim melalui facebook komunitas pemerhati fisika
http://www.facebook.com/#!/group.php?gid=314726150201)
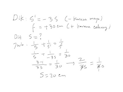
1. bayangan maya yg terbentuk olh sebuah cermin cekung 3 kali lbh besar dr bendanya. bila jarak fokus cermin 30cm, maka jarak benda didepan cermin?
Jawaban :
1
2.
Agar bersesuaian dengan tujuan Blog ini sebagai media konsultasi dan informasi, maka mulai hari ini insya Allah akan dijawab soal - soal fisika dari pengunjung. Cara mengajukan pertanyaan:
1. Memasukkan soal via gadget silaturrahim yg ada di kolom sebelah kanan (masukkan nama dgn jelas dan sekolah)
2. Memasukkan soal via komentar dari salah satu soal yang sudah diposkan.
3. Berikan keterangan soal itu apakah soal SMP atau SMA, karena meski topiknya sama ada perbedaan simbol istilah atau pendekatan antara soal - soal SMP dan SMA...
Berikut ini pertanyaan dari Meirisa Marta Saisu dari SMA 103 Jakarta yang terkirim melalui facebook komunitas pemerhati fisika
http://www.facebook.com/#!/group.php?gid=314726150201)
1. bayangan maya yg terbentuk olh sebuah cermin cekung 3 kali lbh besar dr bendanya. bila jarak fokus cermin 30cm, maka jarak benda didepan cermin?
2. sebuah benda setinggi 4 cm terletak 20 cm didepan cermin cembung yg mempunyai jari-jari kelengkungan 30 cm. tinggi bayangan?
Jawaban :1
2.


1 komentar:
1. Pd siang hari yg terik 80000 L air dalam suatu kolam renang meningkat suhunya sebesar 1,5 derajat C, berapa banyak kalor yg diterima air tsb dlm satuan joule?
2. Berapa lama waktu yg diperlukan oleh pemanas 60 watt utk meleburkan 100 gr es pd suhu 0 derajat C?
Suatu calorimeter berisi 36 gr es pd suhu -6 derajat C (C es: 0,5 kal/g K dan kalor lebur es 80 kal/g). jika kapasitas calorimeter 27 kal/K dan kemudian ke dlm calorimeter itu dimasukkan alkohol yg mempunyai suhu 50 derajat C (kalor jenis alkohol 0,58 kal/g K) dan menyebabkan suhu akhir campuran 8 derajat C, berapakah massa alkohol yg dimasukkan?
Posting Komentar